标签: 高等数学函数定理公式下载 高数 高等数学公式
高等数学公式大全是一款包含了所有数学运算公式的文档,其中包含了很多函数常用公式,掌握后可以在运算中掌握更多的技巧,学习起来会更加的轻松,有需要的用户可以来下载试用阅读!
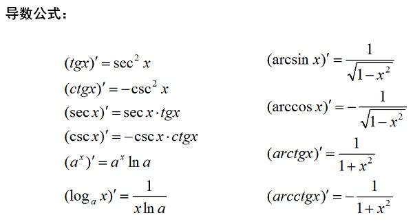
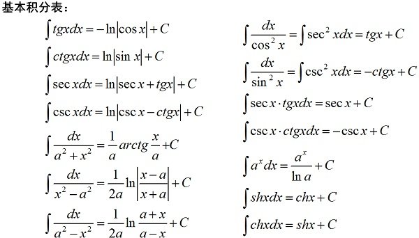
高等数学公式大全是非常齐全的数学运算公式,内容涉及导数公式,基本积分表,三角函数的有理数积分,初等函数,两个重要极限,三角函数公式,高阶导数公式,中值定理与导数应用,曲率,定积分的近似计

高等数学有其固有的特点,就是高度的抽象性、严密的逻辑性和广泛的应用性。抽象性和计算性是数学最基本、最显著的特点-有了高度抽象和统一,我们才能深入地揭示其本质规律,才能使之得到更广泛的应用。严密的逻辑性是指在数学理论的归纳和整理中,都要运用逻辑的规则,遵循思维的规律
